浏览量:
1000
其他中间体
零售价
0.0
元
市场价
0.0
元
浏览量:
1000
产品编号
数量
-
+
库存:
0
所属分类
医药中间体
1
详情描述
参数
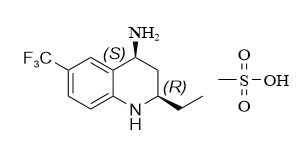
丨CAS No.934274-23-4中间体
4-Quinolinamine, 2-ethyl-1,2,3,4-tetrahydro-6-(trifluoromethyl)-,(2R ,4S)-
![]() |
Catalog No. SZ-2267 CAS No.934274-23-4 Purity: 99% Status:pilot scale |
丨CAS No.952582-02-4中间体
4-Quinolinamine, 2-ethyl-1,2,3,4-tetrahydro-6-(trifluoromethyl)-,(2R ,4S)-
![]() |
Catalog No. SZ-2267 CAS No. 952582-02-4 Purity :99% Status:pilot scale |
扫二维码用手机看
其他产品
×
搜索
版权所有©凯时平台生物医药(上海)有限公司 沪ICP备09012407号
沪公网安备31011502015262号
沪公网安备31011502015262号
×
-
-

